जीप कम्पास का छोटा सा एक्सीडेंट और लग गया 2.76 लाख का चूना, ओनर ने सोशल मीडिया पर साझा की कहानी
अक्सर देखा जाता है कि एक्सीडेंट होने पर छोटे वाहन को अधिक चोट पहुंचती है तथा एसयूवी जैसे वाहनों को बड़े से बड़े घटना में कोई खरोंच नहीं आती है लेकिन हाल ही में ऐसी घटना सामने आयी है जिसमें यह उल्टा पड़ गया।

केरल के कृष्णप्रसाद के जीप कम्पास एसयूवी वाहन की टक्कर मारुति ऑल्टो से हो गयी, जिससे इस हैचबैक के टेल लैंप टूट गए लेकिन जीप के इस एसयूवी वाहन के हेडलैंप, बंपर, ग्रिल, फेंडर टूट गए तथा बोनट पर भी डेंट पड़ गए।

कृष्णप्रसाद ने अपना गुस्सा निकालते हुए सोशल मीडिया में लिखा है कि 'जीप कम्पास का बदनसीब मालिक हूं'। आगे लिखा है कि वह सिर्फ 10 महीने से ही जीप कम्पास को चला रहे है तथा अब तक अच्छे सड़कों पर सिर्फ 10,000 किलोमीटर का सफर किया है।

उनकी जीप कम्पास के डीजल पंप में लीक था जिसे कोच्ची के डीलरशिप से वारंटी के तहत ठीक करवाने के बाद भी परेशानी दे रहा था। उसके एक महीने बाद एसयूवी का मारुति सुजुकी ऑल्टो से एक्सीडेंट हो गया।

उस एक्सीडेंट में खराब हुई चीजों को ठीक करवाने के लिए 2.76 लाख रुपयें खर्च करने पड़े, जिस वजह से वह कोच्ची के डीलरशिप तथा इंश्योरेंस एजेंसी के ऊपर लगातार भड़कते रहे, कि किस वजह से बिल इतना बना गया है लेकिन उन्हें हमेशा निराशा ही हाथ लगी।

उन्होंने तंज कसतेहुए लिखा है कि 'ग्राहक केंद्रित' जीप कम्पास टीम से उन्हें कोई रिप्लाई मिला। उन्होंने इसके लिए संबंधित अधिकारियों को लगातार मैसेज व ई मेल किये लेकिन उन्हें कोई जवाब नहीं मिला। इस वजह से वह परेशान हो चुके थे और जीप कंपनी को लगातार कोसते रहे।

उन्होंने लिखा है कि जीप द्वारा उन्हें विज्ञापनों के माध्यम से बेवकूफ बनाया गया है तथा इतनी स्ट्रांग बिल्ड क्वालिटी का दावा करने के बावजूद कम्पास एसयूवी छोटा सा एक्सीडेंट भी नहीं सह पायी और मामूली से एक्सीडेंट में उन्हें 2.76 लाख रुपयें का नुक्सान उठाना पड़ा।

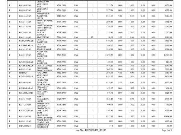
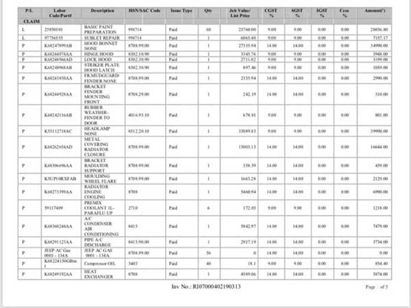
इस तस्वीर में जीप कम्पास के मरम्मत में आने वाले खर्च को दिखाया गया है। वर्तमान में यह एसयूवी बिक्री के मामलें में अन्य प्रतिस्पर्धियों से पिछड़ रही है। इसके नए वैरिएंट निकाले जा रहे है फिर भी बिक्री में कोई फर्क नहीं आ रहा है।

कंपनी ने अप्रैल में जीप कम्पास स्पोर्ट प्लस वैरिएंट को लांच किया है। जीप जल्द ही कम्पास एसयूवी के ट्रेलहॉक वैरिएंट को लॉन्च करने जा रही है तथा हाल ही में इसे टेस्टिंग के दौरान देखा गया है, यह एक ऑफ रोड आधारित वैरिएंट है।
Source: Gaadiwaadi


Click it and Unblock the Notifications